

多种病毒初次感染后可在宿主细胞内潜伏,典型的例子是疱疹病毒科的成员,它们在神经元 (VZV、HSV-1、HSV-2)、B 细胞(EBV))或骨髓细胞(CMV)内处于休眠状态[1]。一旦患者处于免疫抑制状态时,原本处于休眠状态的病毒能够响应触发因素重新被激活。一项前瞻性队列研究表明[2],在患有脓毒症的非免疫功能低下患者中可检测多种DNA病毒,如EBV(53.2%)、CMV(24.2%)、HSV(14.1%)、HHV-6(10.4%)和输血传播病毒(TTV)(77.5%),同时42.7%的患者检测到两种或多种病毒。这些病毒仅仅是作为一个免疫状态评估的标志物还是代表其确实存在致病能力,这个疑问仍悬而未决。
病原宏基因组测序技术(mNGS)的出现提高了检测病毒病原体的能力,但同时也带给临床一些解读困惑。当mNGS检出几十条或者几百条疱疹病毒到底有没有致病意义?移植术后患者检出BKV、JCV、TTV究竟需不需要治疗?本期主题文献从机体免疫状态、病毒载量、抗病毒治疗临床获益等多维度探讨“潜伏病毒”的临床意义,以期能为临床工作者提供解读思路。
1
重症监护病房病毒感染的最新进展
文献信息

发表时间及杂志:
2021年2月《Front Med (Lausanne)》
IF:5.058
作者单位:
雅典国立和卡波迪斯特里安大学医学院
摘要
高度灵敏的分子诊断技术的出现提高了我们检测病毒病原体的能力,这些病毒可导致严重的感染,甚至需要进入重症监护病房(ICU)治疗。ICU中的病毒感染有多种临床表现,包括肺炎、急性呼吸窘迫综合征、呼吸衰竭、中枢或周围神经系统表现和病毒性休克。
除新发感染外,某些病毒还处于潜伏期,并可在免疫受损和免疫功能正常的危重患者中重新激活。根据病毒株的不同,可以通过与感染者和飞沫直接接触发生传播,也可以间接通过飞沫核传播。许多病毒可以在医院环境中有效传播,导致院内暴发,因此感染控制措施至关重要。尽管在检测病毒病原体方面取得了进展,但在抗病毒治疗方面取得的进展有限。在此,本文回顾了ICU中严重的社区和医院获得性病毒感染的流行病学、常见临床特征、诊断、发病机制、治疗和预防的最新进展。


注:病毒在免疫功能良好和免疫功能低下的危重患者中重新激活

注:引起严重感染病毒的治疗和预防
关键词:病毒感染;再激活;呼吸道感染;重症监护;神经综合征;休克
2
BKV、CMV 和 EBV 相互作用及其对肾移植后一年移植物功能的影响:一项大型多中心研究的结果
文献信息

发表时间及杂志:
2018年8月《EBioMedicine》
IF:11.205
作者单位:德国柏林-勃兰登堡再生医学中心
背景
肾移植后BK病毒(BKV)、巨细胞病毒(CMV)和Epstein-Barr病毒(EBV)再激活很常见,并且与发病率和死亡率增加有关。尽管 CMV可能是 BKV和EBV的危险因素,但联合再激活的影响仍然未知。本研究的目的是确定这些再激活与移植功能的相互作用及影响。
方法
通过qPCR分析来自540名肾移植受者的3715份血清样本的病毒载量。在移植后第一年的八次回访中进行了检测,并平行收集临床特征及移植物功能(GFR)。

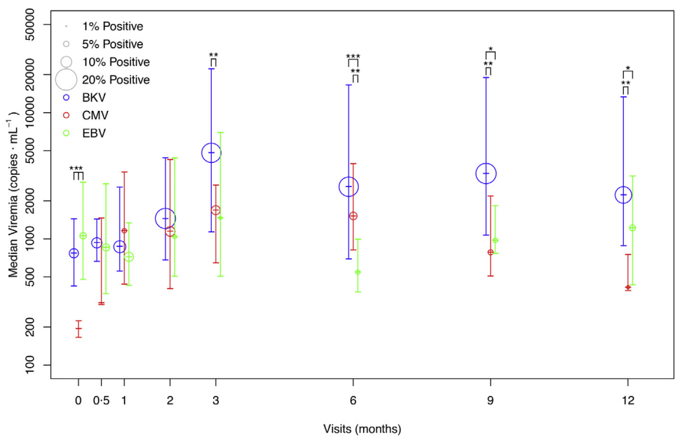
注:移植后第一年的BKV、CMV和EBV的病毒动力学。
绘制了8次随访中BKV(蓝色)、CMV(红色)和EBV(绿色)的流行率和病毒载量水平。
星号表示显著差异(* p < 0.05; ** p <0·01; *** p < 0·001)。

注:与非再激活患者相比,BKV和CMV单一再激活和联合再激活患者的移植物功能动力学。BKV-CMV联合再激活患者的中位GFR。
(红色;N=16)、hBKV(蓝色;N=59)、hCMV(绿色;N=18)和非再激活(黑色;N=208)。
结果
BKV的流行率和病毒载量最高。BKV或CMV病毒载量超过10,000 拷贝/mL会导致GFR显着受损。57名患者有BKV-CMV联合再激活,两种再激活显着相关(p = 0.005)。在相对较低的阈值(BKV>1000和CMV>4000拷贝/mL)下,联合再激活与移植后一年GFR显着降低相关。对于EBV,发现与CMV再激活显着相关(p=0.02),但未发现GFR降低。长时间的冷缺血时间是高CMV负荷的另一个危险因素。
解释
BKV-CMV联合再激活很可能对长期同种异体移植物功能产生影响,即使在低病毒载量的情况下也是如此。建议对低BKV和/或CMV病毒血症和/或长时间冷缺血进行频繁的病毒监测和后续干预。
关键词:BKV;联合再激活;巨细胞病毒;EBV;移植物功能;肾移植
3
重症监护病房重症患者的疱疹病毒DNA血症和 TTV病毒血症:一项单中心前瞻性纵向研究
文献信息

发表时间及杂志:
2021年11月《Front Immunol》
IF:8.786
作者单位:克劳德伯纳德里昂大学
简介
研究分析了危重患者低免疫状态队列(REALISM)中TTV和四种疱疹病毒(CMV、EBV、HHV6和HSV-1)血症,这些患者有败血症、烧伤、严重创伤或手术史。研究目的是确定与病毒和损伤相关病理学相关的共同特征,以及将一种或几种病毒与特定病理背景联系起来的特定特征。
方法
使用定量PCR测定来自REALISM队列中的377名患者的总体和个体病毒载量。这些患者以临床结局 [严重程度评分、死亡率、ICU获得性感染 (IAI)] 和48个定义其损伤后宿主反应的参数(细胞群、免疫功能测定和生物标志物)为特征。病毒血症事件与临床结果或免疫标志物之间的关联使用χ2检验或Fisher检验和Wilcoxon检验进行评估。

注:入院后第一周和第一个月的dna血症。
在ICU入院后的前7天或前28天内出现单个或多个阳性疱疹和/或TTVh(>10,000拷贝/ml)病毒性DNA血症的患者数量。

注:在ICU入院后的第1-2、3-4、5-7、14和28天,HV和TTVh DNA血症的累积发生率。
结果
在第一个月,每种疱疹病毒引起的病毒血症累积发生率从ICU入院时的4%以下增加到35%。EBV、HSV1、HHV6和CMV分别在18%、12%、10%和9%的患者中检测到。同期,高TTV病毒血症(>10,000 拷贝/ml)的发生率从11%增加到15%。疱疹病毒血症与入院时的严重程度有关,CMV和HHV6病毒血症与第一周和一个月内的死亡率相关。在第一个月内单个疱疹病毒的存在与IAI的发生显着相关 (p < 0.001),而在第一周内疱疹病毒DNA血症与高TTV病毒血症与IAI相关。疱疹病毒血症与持久的宿主免疫反应加剧有关,同时伴有严重的免疫抑制和过度炎症,并延迟恢复免疫稳态。脓毒症患者出现疱疹病毒血症的百分比显着高于所有其他组。医院的原发感染和高IL10水平可能有利于EBV和CMV再激活。
结论
在这组ICU患者中,观察到TTV和疱疹病毒血症之间的表型差异。脓毒症中疱疹病毒血症的较高患病率暗示了进一步的研究,这些研究可能有助于在体内更好地了解疱疹病毒病毒再激活的宿主决定因素。此外,研究数据表明,EBV和TTV可用作预测ICU患者临床恶化的额外标志物。
关键词:疱疹病毒;TTV重症监护病房;脓毒症;死亡率;获得性感染;免疫反应;生物标志物
4
阿昔洛韦对呼吸机相关性肺炎和高载量单纯疱疹病毒复制患者生存的影响
文献信息

发表时间及杂志:
2020年1月《Crit Care》
IF:19.334
作者单位:奥格斯堡大学医学院
背景
在高比例的重症监护病房(ICU)患者的呼吸道分泌物中可以检测到单纯疱疹病毒(HSV)的复制。然而,临床意义仍不清楚。本文研究了对抗生素无反应的呼吸机相关性肺炎患者以及在呼吸道分泌物中检测到高载量HSV的患者是否受益于阿昔洛韦治疗。
方法
通过定量实时PCR 检测呼吸道分泌物(支气管肺泡灌洗液或气管吸出物)中的HSV。回顾性比较了未接受和接受阿昔洛韦治疗的高(> 105 HSV copies/mL)和低(103–105 HSV copies/mL)病毒载量患者的ICU存活时间、临床参数和影像学检查结果。

注:a-c高病毒载量患者开始抗病毒治疗后临床参数的发展
a. 通过去甲肾上腺素剂量评估的循环功能;
b. 通过PaO2 /FiO2比值评估呼吸功能;
c. 通过半定量评分评估肺浸润。
结果
确定了57名低病毒载量患者和69名高病毒载量患者。只有较少的高病毒载量患者对抗生素治疗有反应(12% vs 40%,p = 0.001)。阿昔洛韦提高了 ICU 中位生存期(8天vs 22天,p = 0.014),并且仅在高载量患者中显着降低了ICU死亡风险比(HR = 0.31,95%CI 0.11-0.92,p = 0.035)。此外,高载量患者的循环和肺氧合功能在阿昔洛韦治疗过程中显着改善:在治疗的第0天和第6天之间,去甲肾上腺素的平均剂量从0.05降至0.02 μg/kg体重/分钟(p = 0.049);在治疗的第3天和第7天之间,PaO2 /FiO2比率中位数从187增加到241(p = 0.02)。胸片检查结果也显著改善(p < 0.001)。
结论
在呼吸机相关肺炎、抗生素治疗失败和高水平HSV复制的患者中,阿昔洛韦治疗与 ICU死亡时间显着延长以及循环和肺功能改善相关。这表明HSV在这组高度选择的患者中具有致病作用。
关键词:阿昔洛韦;支气管肺泡灌洗液;PCR;HSV;呼吸机相关肺炎
5
阿昔洛韦注册40年后:我们需要新的抗疱疹病毒药物吗?
文献信息

发表时间及杂志:
2022年3月《Int J Mol Sci》
IF:6.208
作者单位:华沙医科大学医学微生物学系
摘要
单纯疱疹病毒1型(HSV1)和2型(HSV2)、水痘带状疱疹(VZV)和巨细胞病毒(CMV),是全世界最常见的病原体之一。它们终生留在宿主体内。这些病毒的感染过程通常是无症状或轻微和自限性,但在免疫功能低下的患者中,例如实体器官或骨髓移植受者,该过程可能非常严重甚至危及生命。不幸的是,在后者中观察到对常规使用的药物具有抗药性的菌株感染的百分比最高。
另一方面,即使在免疫力正常的人群中,生殖器疱疹的频繁复发也可能是一个问题。生殖器疱疹还会增加获得性性传播疾病的风险,包括HIV感染,如果孕妇感染,还会对胎儿和新生儿构成风险。与单纯疱疹相比,先天性感染更常由巨细胞病毒引起。本文介绍了最重要的抗疱疹病毒药物、对这些药物的耐药机制以及病毒基因组中的相关突变。特别介绍了新推出的药物,如maribavir 和brincidofovir。此外,还简要讨论了当前最有前景的药物,以及目前正在使用和正在研究的免疫治疗和疫苗。

注:已批准用于人类疱疹病毒感染的抗病毒药物和潜在的抗病毒化合物
IDU-碘苷,VDR-维生素D受体 ,TFD-替诺福韦酯 ,BVDU-溴夫定, ACV- 阿昔洛韦,GCV-更昔洛韦,FAM-泛昔洛韦,VACV-伐昔洛韦, PCV-贲昔洛韦,CDV-西多福韦 ,VGCV-缬更昔洛韦,LMV-拉米夫定,MBV-马立巴韦

注:核苷类似物、核苷酸类似物、焦磷酸盐类似物和解旋酶引物酶抑制剂对HSV-1的作用机制。